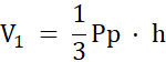
V = Pp · h
Pp = 5 · 4,6 = 23 cm2
V = 23 · 6,3 = 144,9 cm3
Odp.: Objętość prostopadłościanu wynosi 144,9 cm3.
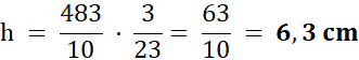
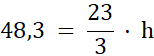
Korzystając z objętości ostrosłupa I wstawiając dane do wzoru, wyliczysz wysokość ostrosłupa, która jest równocześnie wysokości graniastosłupa. Wzór na objętość to: