V = Pp · H
a – krawędź podstawy
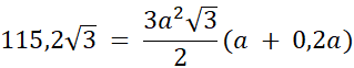
H = a + 20%a
Pb = 6 · a · H
230,4 = 3,6a3
a3 = 64
a = 4 cm
Pb = 6 · 4 · 1,2 · 4 = 115,2 cm2
Odp.: C. 115,2 cm²
Objętość obliczamy wzorem: V = Pp · H. Zauważ, że na pole będą składać się dwie podstawy, w których możesz wydzielić sześć trójkątów oraz sześć ścian bocznych.