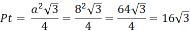
a = 4 cm
2a = 2 · 4 cm = 8 cm
h = 8 cm
Podstawa składa się z trójkąta równobocznego oraz połowy sześciokąta foremnego:
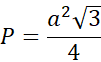
Pole trójkąta:
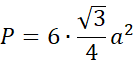
Pole połowy sześciokąta foremnego:
Pole podstawy:
Pole boczne składa się z trzech prostokątów o boku a oraz z dwóch o boku 2a.
Pb = (3a + 4a) · h = (7 · 4) · 8 = 28 · 8 = 224 cm2
Zauważ z czego składa się podstawa tego graniastosłupa:
Skorzystaj więc ze wzorów:
1) na pole trójkąta równoramiennego:
2) na pole sześciokąta foremnego:
Zsumowane wyniki dają ci pole podstawy, które należy podłożyć do wzoru na objętość: V = Pp · H.