Wskaż objętość przedstawionego ostrosłupa.
A. 0,012 dm³
B. 0,015 dm³
C. 1.2 dm³
D. 1.5 dm³
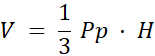
V = 12 cm3 = 0,012 dm3
Odp.: A. 0,012 dm3
Musisz odczytać potrzebne dane i wstawić je do wzoru na objętość ostrosłupa:
Zadanie 1.
Zadanie 2
Zadanie 3.
Podpunkt a)
Podpunkt b)
Podpunkt c)
Ćwiczenie 4.
Ćwiczenie 5.
Ćwiczenie 6.
Ćwiczenie 7.
Ćwiczenie 8.
Ćwiczenie 9.
Ćwiczenie 10.
Ćwiczenie 11.
Ćwiczenie 12.
Ćwiczenie 13.
Ćwiczenie 14.
Ćwiczenie 15.
Ćwiczenie 16.
Ćwiczenie 17.
Ćwiczenie 18.
Ćwiczenie 19.
Ćwiczenie 20.
Ćwiczenie 21.
Ćwiczenie 22.
Ćwiczenie 23.
Ćwiczenie 1.
Ćwiczenie 2.
Ćwiczenie 3.
Ćwiczenie 24.