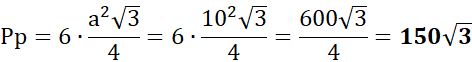
a = 10 cm
b = 10 cm · 150% = 15 cm
52 + h2 = 152
25 + h2 = 225 / - 25
h2 = 200
Pc = Pp + Pb
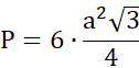
Pole podstawy składa się z 6 pól takich samych trójkątów, więc można je obliczyć je wzoru:
Pole boczne również składa się z 6 pól takich samych trójkątów, możesz więc wykorzystać wzór:
Pole powierzchni całkowitej ostrosłupa to suma pól wszystkich jego ścian.