1. kosz:
V = 20 · 30 · 40 = 24 000 cm3 = 24 l
2. kosz:
a = 20 cm
h = 0,5 m = 50 cm
V = Pp · h = 1020 · 50 = 51 000 cm3 = 51 l
Odp.: Najmniejszy worek, który zmieści się w pierwszym koszu, to ten o pojemności 25 l, a w drugim kosztu to ten o pojemności 60l.
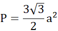
Pamiętaj, że 1 l = 1000 cm3. Zauważ, że w podstawie drugiego kosza jest sześciokąt foremny, więc przydatny będzie wzór na jego pole:
Do wzoru na objętość V = Pp · H wstaw dane.