Obw. = 2a + 2b = 56 cm
H = 21 cm
2a + 2b = 56
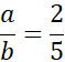
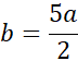
2b = 5a
2a + 5a = 56
7a = 56
a = 8
b = 20
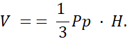
Pp = 8 · 20 = 160
V = 1120 cm3 = 1,12 dm3
Odp.: A. 1,12 dm3
Musisz obliczyć pole podstawy, czyli obliczyć długości krawędzi prostokąta. Możesz to osiągnąć, wstawiając dane do wzoru na obwód i skorzystać z stosunku długości boków. Wzór na obwód to: