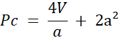
Jeśli w graniastosłupie podstawa ma 4 kąty, a każda krawędzi wynosi a, natomiast objętość wynosi V, to pole wygląda następująco:
a – krawędź podstawy
V = Pp · H
Ppc = 2 · Pp + Pb
Pp = a2
Zadanie 1.
Zadanie 2
Zadanie 3.
Podpunkt a)
Podpunkt b)
Podpunkt c)
Ćwiczenie 4.
Ćwiczenie 5.
Ćwiczenie 6.
Ćwiczenie 7.
Ćwiczenie 8.
Ćwiczenie 9.
Ćwiczenie 10.
Ćwiczenie 11.
Ćwiczenie 12.
Ćwiczenie 13.
Ćwiczenie 14.
Ćwiczenie 15.
Ćwiczenie 16.
Ćwiczenie 17.
Ćwiczenie 18.
Ćwiczenie 19.
Ćwiczenie 20.
Ćwiczenie 21.
Ćwiczenie 22.
Ćwiczenie 23.
Ćwiczenie 1.
Ćwiczenie 2.
Ćwiczenie 3.
Ćwiczenie 24.