Mamy dwa ostrosłupy:
- prawidłowy czworokątny o krawędzi podstawy 3x i wysokości o dwie trzecie długości dłuższą,
- prawidłowy trójkątny o krawędzi podstawy 6x i wysokości mniejszej o dwa razy.
Czy pierwszy ostrosłup ma większą pojemność?
V1 = 9x3 + 6x3 = 15x3
Ostrosłup czworokątny nie ma większej objętości.
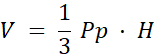
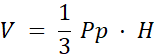
Korzystając z danych musisz obliczyć obie objętości i porównać je. Wzór na objętość:
Zadanie 1.
Zadanie 2
Zadanie 3.
Podpunkt a)
Podpunkt b)
Podpunkt c)
Ćwiczenie 4.
Ćwiczenie 5.
Ćwiczenie 6.
Ćwiczenie 7.
Ćwiczenie 8.
Ćwiczenie 9.
Ćwiczenie 10.
Ćwiczenie 11.
Ćwiczenie 12.
Ćwiczenie 13.
Ćwiczenie 14.
Ćwiczenie 15.
Ćwiczenie 16.
Ćwiczenie 17.
Ćwiczenie 18.
Ćwiczenie 19.
Ćwiczenie 20.
Ćwiczenie 21.
Ćwiczenie 22.
Ćwiczenie 23.
Ćwiczenie 1.
Ćwiczenie 2.
Ćwiczenie 3.
Ćwiczenie 24.