a = 3 cm
h = 12 cm
280 cm3 = 280 ml
280 ml > 250 ml
Odp.: Tak, w tym kubku zmieści się dzienna porcja.
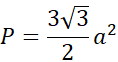
Zauważ, że w podstawie mamy sześciokąt foremny, wiec przydatny będzie wzór na jego pole:
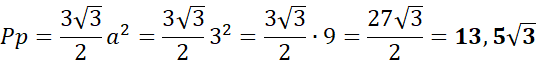
Do wzoru na objętość, czyli V = Pp · H, wstaw uzyskane pole.