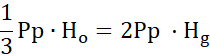
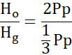
Objętość graniastosłupa:
Vg = Pp · Hg
Objętość ostrosłupa:
Oblizanie stosunku objętości:
Vo = 2 · Vg
Odp.: Stosunek objętości ostrosłupa do objętości graniastosłupa wynosi 6 : 1.
Objętość ostrosłupa obliczamy stosując wzór:
natomiast graniastosłupa:
V = Pp · H.
Wielokąty są przystające, jeśli spełniają następujące warunki:
- stosunek długości odpowiadających sobie boków tych wielokątów jest taki sam,
- stosunek miar odpowiadających sobie kątów jest taki sam.