Pokaż, że pole powierzchni bocznej każdego ostrosłupa prawidłowego jest równe połowie iloczynu obwodu podstawy i wysokości ściany bocznej.
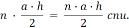
n – ilość krawędzi podstawy
a – długość krawędzi podstawy
h – wysokość ściany bocznej
Obwp = n · a
Zatem połowa iloczynu obwodu podstawy i wysokości ściany bocznej:
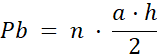
Musisz obliczyć sumę pól ścian bocznych.
Zadanie 1.
Zadanie 2
Zadanie 3.
Podpunkt a)
Podpunkt b)
Podpunkt c)
Ćwiczenie 4.
Ćwiczenie 5.
Ćwiczenie 6.
Ćwiczenie 7.
Ćwiczenie 8.
Ćwiczenie 9.
Ćwiczenie 10.
Ćwiczenie 11.
Ćwiczenie 12.
Ćwiczenie 13.
Ćwiczenie 14.
Ćwiczenie 15.
Ćwiczenie 16.
Ćwiczenie 17.
Ćwiczenie 18.
Ćwiczenie 19.
Ćwiczenie 20.
Ćwiczenie 21.
Ćwiczenie 22.
Ćwiczenie 23.
Ćwiczenie 1.
Ćwiczenie 2.
Ćwiczenie 3.
Ćwiczenie 24.