W tym zadaniu musisz obliczyć długość wysokości trapezu.
Czyli:
Jako, iż
Z twierdzenia Talesa i twierdzenia o linii środkowej trapezu otrzymujesz, iż
Drugie równanie otrzymasz z obserwacji, iż jest to trapez równoramienny:
Prowadzi to to równości:
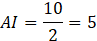
Stosując twierdzenie Pitagorasa dla AID:
Ostatecznie:
Ćwiczenie 5.
12Zadanie 1.
15Zadanie 2.
15Zadanie 3.
15Zadanie 4.
15Zadanie 5.
15Zadanie 6.
15Zadanie 14.
16Ćwiczenie 1.
19Zadanie 1.
24Zadanie 2.
24Ćwiczenie 1.
30Ćwiczenie 2.
31Zadanie 1.
32Zadanie 2.
32Zadanie 1.
39Zadanie 2.
39Zadanie 3.
39Zadanie 4.
39Ćwiczenie 1.
65Ćwiczenie 1.
71Ćwiczenie 2.
71Zadanie 1.
74Zadanie 2.
74Ćwiczenie 1.
80Zadanie 1.
84Zadanie 1.
93Ćwiczenie 1.
101Zadanie 1.
105Zadanie 2.
105