W tym zadaniu musisz udowodnić twierdzenie Menelaosa, dla punktów leżących na przedłużeniach boków trójkąta.
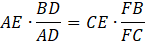
Prowadzimy BX równoległy do AE. Z twierdzenia Talesa:
Dostajemy zatem:
Po przekształceniu:
Wykorzystaj twierdzenie Talesa, z którego otrzymasz dwie równości:
Ćwiczenie 5.
12Zadanie 1.
15Zadanie 2.
15Zadanie 3.
15Zadanie 4.
15Zadanie 5.
15Zadanie 6.
15Zadanie 14.
16Ćwiczenie 1.
19Zadanie 1.
24Zadanie 2.
24Ćwiczenie 1.
30Ćwiczenie 2.
31Zadanie 1.
32Zadanie 2.
32Zadanie 1.
39Zadanie 2.
39Zadanie 3.
39Zadanie 4.
39Ćwiczenie 1.
65Ćwiczenie 1.
71Ćwiczenie 2.
71Zadanie 1.
74Zadanie 2.
74Ćwiczenie 1.
80Zadanie 1.
84Zadanie 1.
93Ćwiczenie 1.
101Zadanie 1.
105Zadanie 2.
105