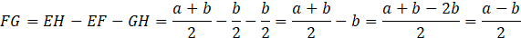
W tym zadaniu musisz udowodnić, iż w trapezie odcinek łączący środki przekątnych jest równoległy do podstawy i ma długość równą połowie różnicy ich długości.
Z twierdzenia Talesa wynika, iż przedłużenie odcinka FG do EH jest linią środkową trapezu (linia środkowa dzieli na pół nierównoległe ściany trapezu, zatem dzieli również na pół każdy odcinek łączący podstawy). Dowodzi to równoległości. Ponownie z twierdzenia Talesa:
Tak samo odcinek GH jest równy
Z twierdzenia Talesa otrzymasz
Ćwiczenie 5.
12Zadanie 1.
15Zadanie 2.
15Zadanie 3.
15Zadanie 4.
15Zadanie 5.
15Zadanie 6.
15Zadanie 14.
16Ćwiczenie 1.
19Zadanie 1.
24Zadanie 2.
24Ćwiczenie 1.
30Ćwiczenie 2.
31Zadanie 1.
32Zadanie 2.
32Zadanie 1.
39Zadanie 2.
39Zadanie 3.
39Zadanie 4.
39Ćwiczenie 1.
65Ćwiczenie 1.
71Ćwiczenie 2.
71Zadanie 1.
74Zadanie 2.
74Ćwiczenie 1.
80Zadanie 1.
84Zadanie 1.
93Ćwiczenie 1.
101Zadanie 1.
105Zadanie 2.
105