W tym zadaniu musisz wyznaczyć długość promienia okręgu stycznego do prostej AB oraz stycznego wewnętrznie do obu okręgów o środkach A i B. Pamiętaj, iż odcinek AB ma długość 2, zaś punkty A i B są środami okręgu o promieniu długości 2.
Połącz środki okręgów, a następnie posłuż się twierdzeniem Pitagorasa dla trójkąta prostokątnego:
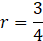
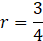
Zwróć uwagę, iż człon
Ćwiczenie 5.
12Zadanie 1.
15Zadanie 2.
15Zadanie 3.
15Zadanie 4.
15Zadanie 5.
15Zadanie 6.
15Zadanie 14.
16Ćwiczenie 1.
19Zadanie 1.
24Zadanie 2.
24Ćwiczenie 1.
30Ćwiczenie 2.
31Zadanie 1.
32Zadanie 2.
32Zadanie 1.
39Zadanie 2.
39Zadanie 3.
39Zadanie 4.
39Ćwiczenie 1.
65Ćwiczenie 1.
71Ćwiczenie 2.
71Zadanie 1.
74Zadanie 2.
74Ćwiczenie 1.
80Zadanie 1.
84Zadanie 1.
93Ćwiczenie 1.
101Zadanie 1.
105Zadanie 2.
105