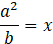
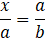
W tym zadaniu musisz skonstruować odcinek
Rozważ:
Narysuj zatem dwie półproste o wspólnym początku, a następnie odłóż na jednej z nich odcinki a i b. Jeśli na drugiej półprostej odłożysz ponownie odcinek a, to z twierdzenia Talesa, jeśli połączysz prostą a i b, a następnie narysujesz prostą równoległą do wcześniej narysowanej (która przechodzi przez a), to prosta ta przetnie drugą półprostą w punkcie
Ćwiczenie 5.
12Zadanie 1.
15Zadanie 2.
15Zadanie 3.
15Zadanie 4.
15Zadanie 5.
15Zadanie 6.
15Zadanie 14.
16Ćwiczenie 1.
19Zadanie 1.
24Zadanie 2.
24Ćwiczenie 1.
30Ćwiczenie 2.
31Zadanie 1.
32Zadanie 2.
32Zadanie 1.
39Zadanie 2.
39Zadanie 3.
39Zadanie 4.
39Ćwiczenie 1.
65Ćwiczenie 1.
71Ćwiczenie 2.
71Zadanie 1.
74Zadanie 2.
74Ćwiczenie 1.
80Zadanie 1.
84Zadanie 1.
93Ćwiczenie 1.
101Zadanie 1.
105Zadanie 2.
105