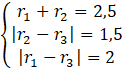
W tym zadaniu musisz obliczyć długości promieni, pamiętając, iż
Przyglądając się rysunkowi, wyprowadź równości:
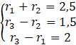
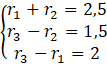
Promień z indeksem 3 jest większy od tego z indeksem 1 i 2, zatem:
Układ równań przybiera postać:
Dodaj stronami pierwsze i drugie równanie, a następnie podstaw do trzeciego:
Wstaw ponownie do trzeciego równania:
Ostatecznie podstaw tę wartość do pierwszego równania:
Ćwiczenie 5.
12Zadanie 1.
15Zadanie 2.
15Zadanie 3.
15Zadanie 4.
15Zadanie 5.
15Zadanie 6.
15Zadanie 14.
16Ćwiczenie 1.
19Zadanie 1.
24Zadanie 2.
24Ćwiczenie 1.
30Ćwiczenie 2.
31Zadanie 1.
32Zadanie 2.
32Zadanie 1.
39Zadanie 2.
39Zadanie 3.
39Zadanie 4.
39Ćwiczenie 1.
65Ćwiczenie 1.
71Ćwiczenie 2.
71Zadanie 1.
74Zadanie 2.
74Ćwiczenie 1.
80Zadanie 1.
84Zadanie 1.
93Ćwiczenie 1.
101Zadanie 1.
105Zadanie 2.
105