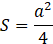
W tym zadaniu musisz obliczyć pole zaznaczonego obszaru, pamiętając, iż bok kwadratu ma długość a.
Zauważmy, iż pole obszaru ograniczonego krzywą niebieską AD, pomarańczową AX i czerwoną XD jest równe polu ograniczonemu krzywą niebieską DC, czerwoną XD i zieloną XC. Analogicznie dla krzywej fioletowej. Cały kwadrat jest podzielony zatem na cztery rozłączne figury, gdzie pole każdej z nich jest równe
Zauważ, iż kwadrat jest podzielony na 4 rozłączne figury, których pole dopełnia się do pola całego kwadratu.
Ćwiczenie 5.
12Zadanie 1.
15Zadanie 2.
15Zadanie 3.
15Zadanie 4.
15Zadanie 5.
15Zadanie 6.
15Zadanie 14.
16Ćwiczenie 1.
19Zadanie 1.
24Zadanie 2.
24Ćwiczenie 1.
30Ćwiczenie 2.
31Zadanie 1.
32Zadanie 2.
32Zadanie 1.
39Zadanie 2.
39Zadanie 3.
39Zadanie 4.
39Ćwiczenie 1.
65Ćwiczenie 1.
71Ćwiczenie 2.
71Zadanie 1.
74Zadanie 2.
74Ćwiczenie 1.
80Zadanie 1.
84Zadanie 1.
93Ćwiczenie 1.
101Zadanie 1.
105Zadanie 2.
105