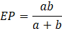
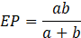
W tym zadaniu musisz wyznaczyć długość odcinka równoległego do podstaw, przechodzącego przez punkt przecięcia przekątnych.
Zgodnie z rysunkiem (dzieląc wysokość h na h1 i h2):
Poprowadź wysokość h, którą podzielić można na h1 (dla trójkąta APB) i h2 (dla trójkąta DPC). Z twierdzenia Talesa:
Rozważ trójkąty ABC i PFC:
Po przekształceniu:
Czyli:
Stąd:
Ćwiczenie 5.
12Zadanie 1.
15Zadanie 2.
15Zadanie 3.
15Zadanie 4.
15Zadanie 5.
15Zadanie 6.
15Zadanie 14.
16Ćwiczenie 1.
19Zadanie 1.
24Zadanie 2.
24Ćwiczenie 1.
30Ćwiczenie 2.
31Zadanie 1.
32Zadanie 2.
32Zadanie 1.
39Zadanie 2.
39Zadanie 3.
39Zadanie 4.
39Ćwiczenie 1.
65Ćwiczenie 1.
71Ćwiczenie 2.
71Zadanie 1.
74Zadanie 2.
74Ćwiczenie 1.
80Zadanie 1.
84Zadanie 1.
93Ćwiczenie 1.
101Zadanie 1.
105Zadanie 2.
105