W tym zadaniu musisz obliczyć pole i obwód zakreskowanej figury, wiedząc, że pole kwadratu wynosi
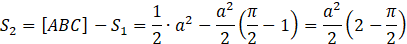
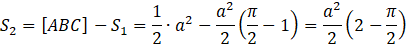
Oznaczając pole okręgu o promieniu
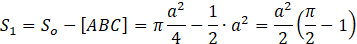
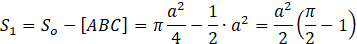
Długość boku kwadratu to a. Połącz punkty A i C. By obliczyć pole
Suma jest zatem równa:
Obwód O składa się z sumy obwodu okręgu o promieniu
Ćwiczenie 5.
12Zadanie 1.
15Zadanie 2.
15Zadanie 3.
15Zadanie 4.
15Zadanie 5.
15Zadanie 6.
15Zadanie 14.
16Ćwiczenie 1.
19Zadanie 1.
24Zadanie 2.
24Ćwiczenie 1.
30Ćwiczenie 2.
31Zadanie 1.
32Zadanie 2.
32Zadanie 1.
39Zadanie 2.
39Zadanie 3.
39Zadanie 4.
39Ćwiczenie 1.
65Ćwiczenie 1.
71Ćwiczenie 2.
71Zadanie 1.
74Zadanie 2.
74Ćwiczenie 1.
80Zadanie 1.
84Zadanie 1.
93Ćwiczenie 1.
101Zadanie 1.
105Zadanie 2.
105