W tym zadaniu musisz określić, czy istnieje liczba a, dla której B będzie należał do odcinka AC.
Punkt B będzie należał do odcinka AC wtedy i tylko wtedy, gdy
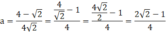
Dla tejże wartości a punkt B zawiera się w odcinku AC.
Punkty są współliniowe, jeśli spełniają jeden z dwóch warunków:
-
-
Ćwiczenie 5.
12Zadanie 1.
15Zadanie 2.
15Zadanie 3.
15Zadanie 4.
15Zadanie 5.
15Zadanie 6.
15Zadanie 14.
16Ćwiczenie 1.
19Zadanie 1.
24Zadanie 2.
24Ćwiczenie 1.
30Ćwiczenie 2.
31Zadanie 1.
32Zadanie 2.
32Zadanie 1.
39Zadanie 2.
39Zadanie 3.
39Zadanie 4.
39Ćwiczenie 1.
65Ćwiczenie 1.
71Ćwiczenie 2.
71Zadanie 1.
74Zadanie 2.
74Ćwiczenie 1.
80Zadanie 1.
84Zadanie 1.
93Ćwiczenie 1.
101Zadanie 1.
105Zadanie 2.
105