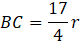
W tym zadaniu musisz obliczyć pole trapezu opisanego na okręgu o promieniu r. Weź pod uwagę, że najkrótszy z boków trapezu ma długość
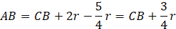
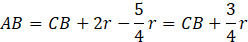
Podstawiając AB:
Czyli:
Z faktu, iż trapez jest opisany na okręgu:
Stąd odcinek AB:
Z drugiej strony, z twierdzenia Pitagorasa:
Podstaw następnie AB w powyższe:
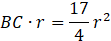
Po uproszczeniu:
Oblicz ostatecznie pole:
Ćwiczenie 5.
12Zadanie 1.
15Zadanie 2.
15Zadanie 3.
15Zadanie 4.
15Zadanie 5.
15Zadanie 6.
15Zadanie 14.
16Ćwiczenie 1.
19Zadanie 1.
24Zadanie 2.
24Ćwiczenie 1.
30Ćwiczenie 2.
31Zadanie 1.
32Zadanie 2.
32Zadanie 1.
39Zadanie 2.
39Zadanie 3.
39Zadanie 4.
39Ćwiczenie 1.
65Ćwiczenie 1.
71Ćwiczenie 2.
71Zadanie 1.
74Zadanie 2.
74Ćwiczenie 1.
80Zadanie 1.
84Zadanie 1.
93Ćwiczenie 1.
101Zadanie 1.
105Zadanie 2.
105