W tym zadaniu musisz obliczyć długości odcinków wyznaczonych przez prostą, dzielącą obwód trójkąta na połowy. W trójkącie ABC
Całkowity obwód trójkąta wynosi
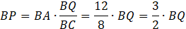
Stosując twierdzenie Talesa:
Wstawiając to wyrażenie na BP do sumy odcinków BP i BQ:
Stąd automatycznie
Skoro BP to
Otrzymujesz tym samym odcinek
Ćwiczenie 5.
12Zadanie 1.
15Zadanie 2.
15Zadanie 3.
15Zadanie 4.
15Zadanie 5.
15Zadanie 6.
15Zadanie 14.
16Ćwiczenie 1.
19Zadanie 1.
24Zadanie 2.
24Ćwiczenie 1.
30Ćwiczenie 2.
31Zadanie 1.
32Zadanie 2.
32Zadanie 1.
39Zadanie 2.
39Zadanie 3.
39Zadanie 4.
39Ćwiczenie 1.
65Ćwiczenie 1.
71Ćwiczenie 2.
71Zadanie 1.
74Zadanie 2.
74Ćwiczenie 1.
80Zadanie 1.
84Zadanie 1.
93Ćwiczenie 1.
101Zadanie 1.
105Zadanie 2.
105