Podaj, o jakich liczbach mowa, bazując na niniejszych informacjach:
Wiadomo, że
Dodając stronami:
Podstawiając do pierwszego równania, otrzymamy:
Oznacz liczby przez x i y
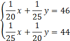
Analizując tekst, ułóż układ równań:
Rozwiązać to możesz metodą przeciwnych współczynników. Pomnóż pierwsze równanie przez 20, a drugie – przez -25, następnie dodaj równania stronami. Otrzymasz pierwszą liczbę
Ćwiczenie 8.
263Zadanie 1.
265Zadanie 2.
265Zadanie 3.
265Zadanie 4.
265Zadanie 5.
265Zadanie 11.
266Zadanie 12.
266Zadanie 14.
266Zadanie 15.
266Zadanie 1.
277Zadanie 2.
277Zadanie 3.
278Zadanie 4.
278Zadanie 5.
278Zadanie 6.
278Zadanie 7.
278Zadanie 6.
284Zadanie 8.
284Zadanie 1.
291Zadanie 2.
291Zadanie 3.
291Zadanie 1.
302Zadanie 2.
302Zadanie 6.
302Zadanie 1.
308Zadanie 2.
308