Wiedząc, że statek płynie ze stałą prędkością po Odrze z Wrocławia do Szczecina 3 dni, a ze Szczecina do Wrocławia - 6 dni, oblicz, ile wynosi czas przepływu wody Odry z Wrocławia do Szczecina.
Wtedy:
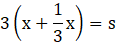
Odległość s wynosi zatem:
Wstawiając do y:
Czas jest ilorazem drogi i szybkości, zatem:
Czas przepływu to 12 dni.
Oznacz przez s drogę od Wrocławia do Szczecina, przez x szybkość statku, a przez y – szybkość rzeki.
Analizując tekst, ułóż układ równań:
Przyrównaj do siebie lewe strony równań. Dostaniesz wtedy wyrażenie na y. Podstaw to do pierwszego równania, by otrzymać x. Następnie wstawiając x do wyrażenia
Ćwiczenie 8.
263Zadanie 1.
265Zadanie 2.
265Zadanie 3.
265Zadanie 4.
265Zadanie 5.
265Zadanie 11.
266Zadanie 12.
266Zadanie 14.
266Zadanie 15.
266Zadanie 1.
277Zadanie 2.
277Zadanie 3.
278Zadanie 4.
278Zadanie 5.
278Zadanie 6.
278Zadanie 7.
278Zadanie 6.
284Zadanie 8.
284Zadanie 1.
291Zadanie 2.
291Zadanie 3.
291Zadanie 1.
302Zadanie 2.
302Zadanie 6.
302Zadanie 1.
308Zadanie 2.
308