W szkole uczniowie uczęszczają na zajęcia z piłki nożnej, siatkówki albo koszykówki. Siatkarzy i koszykarzy łącznie jest dwukrotnie więcej niż piłkarzy. Jednakże, gdyby trzech siatkarzy zmieniło dyscyplinę na koszykówkę, to drużyny siatkarzy i koszykarzy byłyby tak samo liczne. Wiedz także, iż różnica pomiędzy liczbą siatkarzy a liczbą piłkarzy stanowi
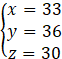
Z drugiego równania:
Podstaw to do pierwszego:
Z trzeciego równania:
Wstawiając znalezione y i x:
Podstaw następnie do równań na x i y:
Zatem:
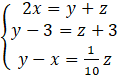
Oznacz przez x liczbę uczniów uprawiającą piłkę nożną, przez y siatkówkę, zaś przez z – koszykówkę. Analizując tekst, otrzymasz układ równań:
Rozwiązać to możesz metodą podstawiania. Wartość y z drugiego równania podstaw do pierwszego równania, by znaleźć wyrażenie na x. Następnie do trzeciego równania wstaw znalezione x i y, by znaleźć wartość z. Ostatecznie wartości x i y znajdziesz, podstawiając z do
Ćwiczenie 8.
263Zadanie 1.
265Zadanie 2.
265Zadanie 3.
265Zadanie 4.
265Zadanie 5.
265Zadanie 11.
266Zadanie 12.
266Zadanie 14.
266Zadanie 15.
266Zadanie 1.
277Zadanie 2.
277Zadanie 3.
278Zadanie 4.
278Zadanie 5.
278Zadanie 6.
278Zadanie 7.
278Zadanie 6.
284Zadanie 8.
284Zadanie 1.
291Zadanie 2.
291Zadanie 3.
291Zadanie 1.
302Zadanie 2.
302Zadanie 6.
302Zadanie 1.
308Zadanie 2.
308