W tym zadaniu musisz rozwiązać układ nierówności
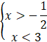
Rozwiązanie to przedział:
Rozwiń nawias i pozostaw w obu nierównościach wyrazy z x po lewej stronie, a całą resztę – po prawej. Rozwiązaniem jest część wspólna zbiorów rozwiązań obu nierówności.
Ćwiczenie 8.
263Zadanie 1.
265Zadanie 2.
265Zadanie 3.
265Zadanie 4.
265Zadanie 5.
265Zadanie 11.
266Zadanie 12.
266Zadanie 14.
266Zadanie 15.
266Zadanie 1.
277Zadanie 2.
277Zadanie 3.
278Zadanie 4.
278Zadanie 5.
278Zadanie 6.
278Zadanie 7.
278Zadanie 6.
284Zadanie 8.
284Zadanie 1.
291Zadanie 2.
291Zadanie 3.
291Zadanie 1.
302Zadanie 2.
302Zadanie 6.
302Zadanie 1.
308Zadanie 2.
308