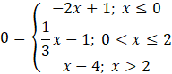
W tym zadaniu musisz znaleźć miejsca zerowe funkcji
Otrzymujemy 3 równania:
Ogólne rozwiązania to:
Tylko trzecie równanie ma rozwiązanie w swojej dziedzinie, zatem funkcja
Miejsca zerowe znajdziesz, rozwiązując równanie
Ćwiczenie 8.
263Zadanie 1.
265Zadanie 2.
265Zadanie 3.
265Zadanie 4.
265Zadanie 5.
265Zadanie 11.
266Zadanie 12.
266Zadanie 14.
266Zadanie 15.
266Zadanie 1.
277Zadanie 2.
277Zadanie 3.
278Zadanie 4.
278Zadanie 5.
278Zadanie 6.
278Zadanie 7.
278Zadanie 6.
284Zadanie 8.
284Zadanie 1.
291Zadanie 2.
291Zadanie 3.
291Zadanie 1.
302Zadanie 2.
302Zadanie 6.
302Zadanie 1.
308Zadanie 2.
308