W tym zadaniu musisz rozwiązać zadanie z treścią.
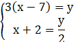
Wstawiamy y do drugiego równania:
Wtedy:
Ola ma 25 lat, a jej mama – 54.
Oznacz przez x wiek Oli, a przez y – jej mamy.
Analizując tekst, ułóż układ równań:
y z pierwszego równania podstaw do drugiego, by uzyskać x. Następnie znaleziony x podstaw do pierwszego równania, by znaleźć wartość y.
Ćwiczenie 8.
263Zadanie 1.
265Zadanie 2.
265Zadanie 3.
265Zadanie 4.
265Zadanie 5.
265Zadanie 11.
266Zadanie 12.
266Zadanie 14.
266Zadanie 15.
266Zadanie 1.
277Zadanie 2.
277Zadanie 3.
278Zadanie 4.
278Zadanie 5.
278Zadanie 6.
278Zadanie 7.
278Zadanie 6.
284Zadanie 8.
284Zadanie 1.
291Zadanie 2.
291Zadanie 3.
291Zadanie 1.
302Zadanie 2.
302Zadanie 6.
302Zadanie 1.
308Zadanie 2.
308