W tym zadaniu musisz podać wzór funkcji liniowej której wykres przechodzi przez punkty
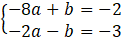
Dodaj stronami:
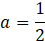
Podstawiamy następnie do pierwszego równania:
Funkcja liniowa ma postać
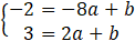
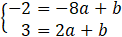
Drugie równanie pomnóż przez -1 i dodaj do pierwszego stronami. Uzyskasz w ten sposób a. Następnie podstawiając do pierwszego równania otrzymasz wartość wyrazu wolnego.
Ćwiczenie 8.
263Zadanie 1.
265Zadanie 2.
265Zadanie 3.
265Zadanie 4.
265Zadanie 5.
265Zadanie 11.
266Zadanie 12.
266Zadanie 14.
266Zadanie 15.
266Zadanie 1.
277Zadanie 2.
277Zadanie 3.
278Zadanie 4.
278Zadanie 5.
278Zadanie 6.
278Zadanie 7.
278Zadanie 6.
284Zadanie 8.
284Zadanie 1.
291Zadanie 2.
291Zadanie 3.
291Zadanie 1.
302Zadanie 2.
302Zadanie 6.
302Zadanie 1.
308Zadanie 2.
308