W tym zadaniu musisz wyznaczyć miejsca zerowe funkcji
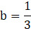
Punkty P należy do wykresy funkcji
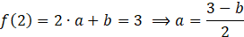
Stąd wartość współczynnika kierunkowego:
Formuły podanych funkcji to:
Ostatecznie miejsca zerowe:
Podstaw podany punkt to wyrażenia na funkcję
Ćwiczenie 8.
263Zadanie 1.
265Zadanie 2.
265Zadanie 3.
265Zadanie 4.
265Zadanie 5.
265Zadanie 11.
266Zadanie 12.
266Zadanie 14.
266Zadanie 15.
266Zadanie 1.
277Zadanie 2.
277Zadanie 3.
278Zadanie 4.
278Zadanie 5.
278Zadanie 6.
278Zadanie 7.
278Zadanie 6.
284Zadanie 8.
284Zadanie 1.
291Zadanie 2.
291Zadanie 3.
291Zadanie 1.
302Zadanie 2.
302Zadanie 6.
302Zadanie 1.
308Zadanie 2.
308