W tym zadaniu musisz skonstruować układ równań oznaczony, nieoznaczony i sprzeczny.
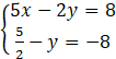
Oznaczony:
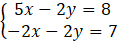
Nieoznaczony:
Sprzeczny:
Układ oznaczony ma jedno rozwiązanie. Odpowiada to sytuacji, gdy wykresy równań się przecinają w jednym punkcie, oraz jedno z równań
Ćwiczenie 8.
263Zadanie 1.
265Zadanie 2.
265Zadanie 3.
265Zadanie 4.
265Zadanie 5.
265Zadanie 11.
266Zadanie 12.
266Zadanie 14.
266Zadanie 15.
266Zadanie 1.
277Zadanie 2.
277Zadanie 3.
278Zadanie 4.
278Zadanie 5.
278Zadanie 6.
278Zadanie 7.
278Zadanie 6.
284Zadanie 8.
284Zadanie 1.
291Zadanie 2.
291Zadanie 3.
291Zadanie 1.
302Zadanie 2.
302Zadanie 6.
302Zadanie 1.
308Zadanie 2.
308