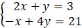
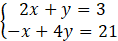
W tym zadaniu musisz rozwiązać układ równań
Z pierwszego równania:
Podstawiamy do drugiego:
Wracając do pierwszego równania:
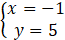
Rozwiązaniem jest para liczb:
By rozwiązać układ metodą podstawiania wyznacz z pierwszego równania y i podstaw jego wartość do drugiego. Otrzymasz w ten sposób wartość x. Podstawiając następnie tą wartość ponownie do wyrażenia na y, odnajdziesz wartość y.
Ćwiczenie 8.
263Zadanie 1.
265Zadanie 2.
265Zadanie 3.
265Zadanie 4.
265Zadanie 5.
265Zadanie 11.
266Zadanie 12.
266Zadanie 14.
266Zadanie 15.
266Zadanie 1.
277Zadanie 2.
277Zadanie 3.
278Zadanie 4.
278Zadanie 5.
278Zadanie 6.
278Zadanie 7.
278Zadanie 6.
284Zadanie 8.
284Zadanie 1.
291Zadanie 2.
291Zadanie 3.
291Zadanie 1.
302Zadanie 2.
302Zadanie 6.
302Zadanie 1.
308Zadanie 2.
308