W tym zadaniu musisz wyznaczyć wzór nieparzystej funkcji liniowej, której wykres przechodzi przez punkt (-5,135).
Funkcja liniowa przyjmuje wartość:
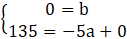
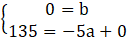
Ze względu na to, że jest liniowa i nieparzysta to musi przechodzić przez punkt (0,0).
Przechodzi też przez punkt (-5, 135)
Stwórz układ równań i go rozwiąż wyznaczając a i b.
Podstaw dane do wzoru.
Zadanie 4.1.
127Zadanie 4.2.
127Zadanie 4.3.
127Zadanie 4.5.
127Zadanie 4.6.
128Zadanie 4.7.
128Zadanie 4.8.
128Zadanie 4.9.
128Zadanie 4.10.
128Zadanie 4.11.
128Zadanie 4.12.
128Zadanie 4.13.
129Zadanie 4.14.
129Zadanie 4.15.
130Zadanie 4.16.
130Zadanie 4.17.
130Zadanie 4.18.
130Zadanie 4.19.
130Zadanie 4.20.
130Zadanie 4.21.
131Zadanie 4.22.
131Zadanie 4.23.
131Zadanie 4.24.
131Zadanie 4.25.
131Zadanie 4.26.
131Zadanie 4.27.
131Zadanie 4.31.
132Zadanie 4.32.
132Zadanie 4.33.
132Zadanie 4.34.
132Zadanie 4.35.
132Zadanie 4.36.
133Zadanie 4.37.
133Zadanie 4.38.
133Zadanie 4.39.
134Zadanie 4.40.
134Zadanie 4.41.
134Zadanie 4.42.
134Zadanie 4.43.
134Zadanie 4.44.
135Zadanie 4.45.
135Zadanie 4.50.
136Zadanie 4.51.
136Zadanie 4.52.
136Zadanie 4.57.
137Zadanie 4.62.
137Zadanie 4.63.
137Zadanie 4.64.
137Zadanie 4.65.
138Zadanie 4.66.
138Zadanie 4.67.
138Zadanie 4.68.
138Zadanie 4.69.
139Zadanie 4.70.
139Zadanie 4.71.
139Zadanie 4.72.
139Zadanie 4.73.
140Zadanie 4.74.
140Zadanie 4.75.
140Zadanie 4.76.
140Zadanie 4.77.
140Zadanie 4.80.
141Zadanie 4.81.
141Zadanie 4.82.
141Zadanie 4.83.
141Zadanie 4.86.
141Zadanie 4.87.
141Zadanie 4.90.
142Zadanie 4.91.
142Zadanie 4.94.
143Zadanie 4.96.
143Zadanie 4.97.
143Zadanie 4.98.
144Zadanie 4.100.
144Zadanie 4.101.
144Zadanie 4.102.
144Zadanie 4.103.
144Zadanie 4.104.
144Zadanie 4.105.
145Zadanie 4.106.
145Zadanie 4.107.
145Zadanie 4.108.
146Zadanie 4.109.
146Zadanie 4.110.
146Zadanie 4.111.
146Zadanie 4.112.
146Zadanie 4.113.
146Zadanie 16.
149Zadanie 19.
149Zadanie 21.
150Zadanie 23.
150Zadanie 25.
150Zadanie 26.
150Zadanie 27.
151Zadanie 28.
151Zadanie 29.
151Zadanie 30.
151Zadanie 31.
151Zadanie 35.
152Zadanie 36.
152Zadanie 42.
152