Na podstawie informacji o wprost proporcjonalnej zależności między wielkościami x i y, podaj wartość współczynnika proporcjonalności oraz uzupełnij tabelkę.
| x | A | B | ||
| y | 1 | 4 | C |
| x | ||||
| y | 1 | 4 |
X i y są wprost proporcjonalne, czyli
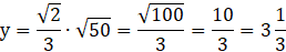
Policz współczynnik proporcjonalności.
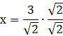
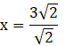
Ze wzoru na proporcjonalność prostej policz pierwszą liczbę oznaczoną jako „A”.
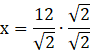
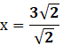
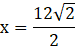
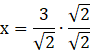
Następnie policz kolejną liczbę oznaczoną jako „B”.
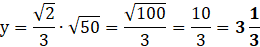
Na koniec policz kolejną liczbę oznaczoną jako „B”.
| x | ||||
| y | 1 | 4 |
Zadanie 4.1.
127Zadanie 4.2.
127Zadanie 4.3.
127Zadanie 4.5.
127Zadanie 4.6.
128Zadanie 4.7.
128Zadanie 4.8.
128Zadanie 4.9.
128Zadanie 4.10.
128Zadanie 4.11.
128Zadanie 4.12.
128Zadanie 4.13.
129Zadanie 4.14.
129Zadanie 4.15.
130Zadanie 4.16.
130Zadanie 4.17.
130Zadanie 4.18.
130Zadanie 4.19.
130Zadanie 4.20.
130Zadanie 4.21.
131Zadanie 4.22.
131Zadanie 4.23.
131Zadanie 4.24.
131Zadanie 4.25.
131Zadanie 4.26.
131Zadanie 4.27.
131Zadanie 4.31.
132Zadanie 4.32.
132Zadanie 4.33.
132Zadanie 4.34.
132Zadanie 4.35.
132Zadanie 4.36.
133Zadanie 4.37.
133Zadanie 4.38.
133Zadanie 4.39.
134Zadanie 4.40.
134Zadanie 4.41.
134Zadanie 4.42.
134Zadanie 4.43.
134Zadanie 4.44.
135Zadanie 4.45.
135Zadanie 4.50.
136Zadanie 4.51.
136Zadanie 4.52.
136Zadanie 4.57.
137Zadanie 4.62.
137Zadanie 4.63.
137Zadanie 4.64.
137Zadanie 4.65.
138Zadanie 4.66.
138Zadanie 4.67.
138Zadanie 4.68.
138Zadanie 4.69.
139Zadanie 4.70.
139Zadanie 4.71.
139Zadanie 4.72.
139Zadanie 4.73.
140Zadanie 4.74.
140Zadanie 4.75.
140Zadanie 4.76.
140Zadanie 4.77.
140Zadanie 4.80.
141Zadanie 4.81.
141Zadanie 4.82.
141Zadanie 4.83.
141Zadanie 4.86.
141Zadanie 4.87.
141Zadanie 4.90.
142Zadanie 4.91.
142Zadanie 4.94.
143Zadanie 4.96.
143Zadanie 4.97.
143Zadanie 4.98.
144Zadanie 4.100.
144Zadanie 4.101.
144Zadanie 4.102.
144Zadanie 4.103.
144Zadanie 4.104.
144Zadanie 4.105.
145Zadanie 4.106.
145Zadanie 4.107.
145Zadanie 4.108.
146Zadanie 4.109.
146Zadanie 4.110.
146Zadanie 4.111.
146Zadanie 4.112.
146Zadanie 4.113.
146Zadanie 16.
149Zadanie 19.
149Zadanie 21.
150Zadanie 23.
150Zadanie 25.
150Zadanie 26.
150Zadanie 27.
151Zadanie 28.
151Zadanie 29.
151Zadanie 30.
151Zadanie 31.
151Zadanie 35.
152Zadanie 36.
152Zadanie 42.
152