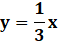
Przeanalizuj tabele pod kątem wprost proporcjonalnych zależności między wartościami x i y. Jeśli taką zależność zauważysz, podaj współczynnik proporcjonalności oraz przedstaw wzór opisujący tę zależność.
| x | -9 | -6 | -3 | 3 |
| y | -3 | -2 | -1 | 1 |
Szukasz, czy wyrażenia są wprost proporcjonalne, czyli sprawdzasz, czy rosną/maleją tyle samo razy.
Sprawdź po kolei kolejne pary x i y.
Widać, że są wprost proporcjonalne, więc teraz wyznacz wzór ukazujący zależność y od x.
Zadanie 4.1.
127Zadanie 4.2.
127Zadanie 4.3.
127Zadanie 4.5.
127Zadanie 4.6.
128Zadanie 4.7.
128Zadanie 4.8.
128Zadanie 4.9.
128Zadanie 4.10.
128Zadanie 4.11.
128Zadanie 4.12.
128Zadanie 4.13.
129Zadanie 4.14.
129Zadanie 4.15.
130Zadanie 4.16.
130Zadanie 4.17.
130Zadanie 4.18.
130Zadanie 4.19.
130Zadanie 4.20.
130Zadanie 4.21.
131Zadanie 4.22.
131Zadanie 4.23.
131Zadanie 4.24.
131Zadanie 4.25.
131Zadanie 4.26.
131Zadanie 4.27.
131Zadanie 4.31.
132Zadanie 4.32.
132Zadanie 4.33.
132Zadanie 4.34.
132Zadanie 4.35.
132Zadanie 4.36.
133Zadanie 4.37.
133Zadanie 4.38.
133Zadanie 4.39.
134Zadanie 4.40.
134Zadanie 4.41.
134Zadanie 4.42.
134Zadanie 4.43.
134Zadanie 4.44.
135Zadanie 4.45.
135Zadanie 4.50.
136Zadanie 4.51.
136Zadanie 4.52.
136Zadanie 4.57.
137Zadanie 4.62.
137Zadanie 4.63.
137Zadanie 4.64.
137Zadanie 4.65.
138Zadanie 4.66.
138Zadanie 4.67.
138Zadanie 4.68.
138Zadanie 4.69.
139Zadanie 4.70.
139Zadanie 4.71.
139Zadanie 4.72.
139Zadanie 4.73.
140Zadanie 4.74.
140Zadanie 4.75.
140Zadanie 4.76.
140Zadanie 4.77.
140Zadanie 4.80.
141Zadanie 4.81.
141Zadanie 4.82.
141Zadanie 4.83.
141Zadanie 4.86.
141Zadanie 4.87.
141Zadanie 4.90.
142Zadanie 4.91.
142Zadanie 4.94.
143Zadanie 4.96.
143Zadanie 4.97.
143Zadanie 4.98.
144Zadanie 4.100.
144Zadanie 4.101.
144Zadanie 4.102.
144Zadanie 4.103.
144Zadanie 4.104.
144Zadanie 4.105.
145Zadanie 4.106.
145Zadanie 4.107.
145Zadanie 4.108.
146Zadanie 4.109.
146Zadanie 4.110.
146Zadanie 4.111.
146Zadanie 4.112.
146Zadanie 4.113.
146Zadanie 16.
149Zadanie 19.
149Zadanie 21.
150Zadanie 23.
150Zadanie 25.
150Zadanie 26.
150Zadanie 27.
151Zadanie 28.
151Zadanie 29.
151Zadanie 30.
151Zadanie 31.
151Zadanie 35.
152Zadanie 36.
152Zadanie 42.
152