W tym zadaniu musisz wyznaczyć wzory funkcji f i g.
Funkcja liniowa przyjmuje wzór
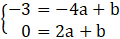
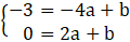
Punkty, przez które przechodzi funkcja
Stwórz układ równań i wyznacz wzór funkcji
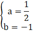
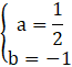
Punkty, przez które przechodzi funkcja
Stwórz układ równań i wyznacz wzór funkcji
Zadanie 4.1.
127Zadanie 4.2.
127Zadanie 4.3.
127Zadanie 4.5.
127Zadanie 4.6.
128Zadanie 4.7.
128Zadanie 4.8.
128Zadanie 4.9.
128Zadanie 4.10.
128Zadanie 4.11.
128Zadanie 4.12.
128Zadanie 4.13.
129Zadanie 4.14.
129Zadanie 4.15.
130Zadanie 4.16.
130Zadanie 4.17.
130Zadanie 4.18.
130Zadanie 4.19.
130Zadanie 4.20.
130Zadanie 4.21.
131Zadanie 4.22.
131Zadanie 4.23.
131Zadanie 4.24.
131Zadanie 4.25.
131Zadanie 4.26.
131Zadanie 4.27.
131Zadanie 4.31.
132Zadanie 4.32.
132Zadanie 4.33.
132Zadanie 4.34.
132Zadanie 4.35.
132Zadanie 4.36.
133Zadanie 4.37.
133Zadanie 4.38.
133Zadanie 4.39.
134Zadanie 4.40.
134Zadanie 4.41.
134Zadanie 4.42.
134Zadanie 4.43.
134Zadanie 4.44.
135Zadanie 4.45.
135Zadanie 4.50.
136Zadanie 4.51.
136Zadanie 4.52.
136Zadanie 4.57.
137Zadanie 4.62.
137Zadanie 4.63.
137Zadanie 4.64.
137Zadanie 4.65.
138Zadanie 4.66.
138Zadanie 4.67.
138Zadanie 4.68.
138Zadanie 4.69.
139Zadanie 4.70.
139Zadanie 4.71.
139Zadanie 4.72.
139Zadanie 4.73.
140Zadanie 4.74.
140Zadanie 4.75.
140Zadanie 4.76.
140Zadanie 4.77.
140Zadanie 4.80.
141Zadanie 4.81.
141Zadanie 4.82.
141Zadanie 4.83.
141Zadanie 4.86.
141Zadanie 4.87.
141Zadanie 4.90.
142Zadanie 4.91.
142Zadanie 4.94.
143Zadanie 4.96.
143Zadanie 4.97.
143Zadanie 4.98.
144Zadanie 4.100.
144Zadanie 4.101.
144Zadanie 4.102.
144Zadanie 4.103.
144Zadanie 4.104.
144Zadanie 4.105.
145Zadanie 4.106.
145Zadanie 4.107.
145Zadanie 4.108.
146Zadanie 4.109.
146Zadanie 4.110.
146Zadanie 4.111.
146Zadanie 4.112.
146Zadanie 4.113.
146Zadanie 16.
149Zadanie 19.
149Zadanie 21.
150Zadanie 23.
150Zadanie 25.
150Zadanie 26.
150Zadanie 27.
151Zadanie 28.
151Zadanie 29.
151Zadanie 30.
151Zadanie 31.
151Zadanie 35.
152Zadanie 36.
152Zadanie 42.
152