Skul.pl
  • Opracowania zadań z podręczników
  • Matematyka. Klasa 8. Zeszyt ćwiczeń - rozwiązania i odpowiedzi
  • Zadanie 10.

Matematyka. Klasa 8. Zeszyt ćwiczeń - rozwiązania i odpowiedzi

Zeszyt ćwiczeń, Wydawnictwo: WSiP
Poprzednie

Zadanie 10. - strona 49

Następne

Zadanie

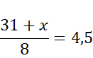
Średnia arytmetyczna z ośmiu ocen to 4,5. Siedem z nich to 3, 5, 6, 4, 3, 4,6, jaka jest ósma ocena?

Rozwiązanie

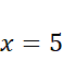
- ósma ocena

Ósma ocena to 5.

Skul

Wyjaśnienie

Średnia arytmetyczna liczb to ich suma podzielona przez ich ilość.

Poprzednie
Następne

Matematyka - wybrane pytania

Zadanie Prosto do matury 4, strona 379, Matematyka. Prosto do matury. Klasa 1. Zakres podstawowy i rozszerzony. Podręcznik - rozwiązania i odpowiedzi
Zadanie 2., strona 18, Matematyka. Klasa 4. Zeszyt ćwiczeń - rozwiązania i odpowiedzi
Zadanie 1., strona 78, Matematyka z kluczem. Klasa 8. Zbiór zadań – rozwiązania i odpowiedzi
Zadanie 2., strona 246, Matematyka. Klasa 8. Podręcznik – rozwiązania i odpowiedzi
Zadanie 25., strona 141, Matematyka. Klasa 2. Zakres podstawowy. Zbiór zadań - rozwiązania i odpowiedzi
Zadanie S2., strona 134, Matematyka z plusem. Klasa 3. Podręcznik. Zakres rozszerzony – rozwiązania i odpowiedzi
Zadanie 9, strona 30, Matematyka. Klasa 2. Zbiór zadań. Poziom podstawowy – rozwiązania i odpowiedzi
Zadanie 9, strona 290, NOWA MATeMAtyka 1. Podręcznik. Zakres podstawowy i rozszerzony
Ćwiczenie 2., strona 8, Matematyka wokół nas. Klasa 4. Zeszyt ćwiczeń. Część 1 - rozwiązania i odpowiedzi
Zadanie 154, strona 144, Matematyka. Klasa 2. Zbiór zadań. Zakres rozszerzony – rozwiązania i odpowiedzi
REKLAMA
Skul
Zadania z tego działu
5. Statystyka i rachunek prawdopodobieństwa
46
5.1 Statystyka
46

Zadanie 1.

46

Zadanie 2.

46

Zadanie 3.

46

Zadanie 4.

47

Podpunkt a)

47

Podpunkt b)

47

Podpunkt c)

47

Zadanie 5.

47

Podpunkt a)

47

Podpunkt b)

47

Podpunkt c)

47

Podpunkt d)

47

Zadanie 6.

48

Podpunkt a)

48

Podpunkt b)

48

Zadanie 7.

48

Podpunkt a)

48

Podpunkt b)

48

Zadanie 8.

49

Zadanie 9.

49

Zadanie 10.

49

Zadanie 11.

49

Zadanie 12.

50

Podpunkt a)

50

Podpunkt b)

50

Podpunkt c)

50
5.2 Wprowadzenie do kombinatoryki i rachunku prawdopodobieństwa
51

Zadanie 1.

51

Zadanie 2.

51

Zadanie 3.

51

Zadanie 4.

52

Zadanie 5.

52

Zadanie 6.

52

Zadanie 7.

53

Zadanie 8.

53

Podpunkt a)

53

Podpunkt b)

53

Zadanie 9.

53
Pełny spis treści
Skul
Artboard 1
Skul.pl
  • Napisz do nas
  • FAQ
  • Mapa Serwisu
  • Google Play
  • App Store

Korzystanie z portalu oznacza akceptację Regulaminu.
Polityka prywatności. Ustawienia preferencji. Copyright: INTERIA.PL 1999-2023 Wszystkie prawa zastrzeżone.