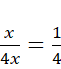
Liczba zdarzeń możliwych: ;
Prawdopodobieństwo wylosowania dziewczyny wynosi:
Prawdopodobieństwo wylosowania chłopca wynosi:
Odpowiedź: Prawdopodobieństwo wylosowania dziewczyny wynosi B.
Prawdopodobieństwo wylosowania chłopca jest C. 3. razy większe niż prawdopodobieństwo wylosowania dziewczyny.
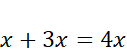
Aby obliczyć prawdopodobieństwo, musisz podzielić liczbę zdarzeń sprzyjających przez liczbę wszystkich możliwych zdarzeń. Oznacz ilość dziewcząt i chłopców w tej klasie przy pomocy jednej zmiennej. Oblicz prawdopodobieństwo wylosowania chłopca i dziewczyny, a następnie podziel prawdopodobieństwo wylosowania chłopca przez prawdopodobieństwo wylosowania dziewczyny.