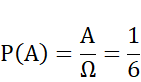
A – zdarzenie polegające na wyrzuceniu 4 oczek: A = 1
Ω – wszystkie możliwości: Ω = 6
Odpowiedź: A.
Aby obliczyć prawdopodobieństwo, musisz podzielić liczbę zdarzeń sprzyjających przez liczbę wszystkich możliwych zdarzeń. W tym wypadku zdarzeniem sprzyjającym będzie wyrzucenie pola z czterema oczkami, jest tylko jedno takie pole. Zdarzenia możliwe to wyrzucenie wszystkich innych pól i pola ze zdarzeniem sprzyjającym, czyli w tym wypadku jest ich 6.