Średnia arytmetyczna liczb x +100 i y +100 jest równa B. 108.
Średnia arytmetyczna liczb x, y i 14 jest równa C. 10.
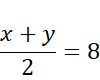
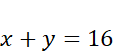
Średnia arytmetyczna liczb to ich suma podzielona przez ich ilość, korzystając z tego faktu oblicz sumę liczb x i y. Następnie użyj tej sumy przy obliczaniu kolejnych średnich arytmetycznych.