W tym zadaniu musisz wykazać, że wiedząc, że w równoległoboku ABCD bok AB jest dwa razy dłuższy od boku BC, a punkt E jest środkiem odcinka AB.
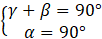
Kąt CED ma miarę , co należało wykazać.
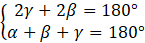
Rozwiąż układ równań wyznaczając z niego miarę kąta . Kąt ten ma miarę .
Zadanie 1.
Zadanie 2.
Zadanie 3.
Podpunkt a)
Podpunkt b)
Zadanie 4.
Zadanie 5.
Zadanie 6.
Zadanie 7.
Zadanie 8.
Zadanie 9.
Zadanie 10.
Podpunkt c)
Zadanie 11.
Zadanie 12.
Zadanie 13.
Zadanie 14.
Zadanie 15.
Zadanie 16.
Zadanie 17.
Zadanie 18.
Podpunkt d)