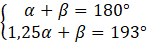
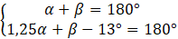
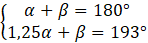
W tym zadaniu musisz wyznaczyć wszystkie kąty trapezu, wiedząc, że w trapezie ABCD boki AB i DC są równoległe, miara kąta ABC jest o 25% mniejsza od miary kąta BAD, a miara kąta BCD jest o mniejsza od miary kąta CDA.
Rozwiązanie
Kąty w tym trapezie mają miary: , , ,
Wyjaśnienie
Narysuj rysunek taki jak powyżej i zapisz dwa prawdziwe równania: i . Z obu tych równań utwórz układ równań i go rozwiąż. Zapisz rozwiązania, które są miarami kątów w trapezie, Oblicz i , a następnie zapisz miary wszystkich kątów w trapezie.