W tym zadaniu musisz odpowiedzieć na pytanie, jaki obwód ma kwadrat o przekątnej długości .
– długość boku kwadratu
Obwód jest równy:
Poprawną odpowiedzią jest odp. D.
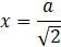
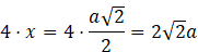
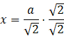
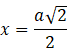
Korzystając ze wzoru na przekątną kwadratu oblicz długość boku x.
Zadanie 1.
Zadanie 2.
Zadanie 3.
Podpunkt a)
Podpunkt b)
Zadanie 4.
Zadanie 5.
Zadanie 6.
Zadanie 7.
Zadanie 8.
Zadanie 9.
Zadanie 10.
Podpunkt c)
Zadanie 11.
Zadanie 12.
Zadanie 13.
Zadanie 14.
Zadanie 15.
Zadanie 16.
Zadanie 17.
Zadanie 18.
Podpunkt d)