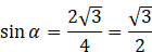
W tym zadaniu musisz obliczyć miarę kąta ostrego trapezu, wiedząc, że różnica długości podstaw wynosi 2, krótsze ramię ma długość .
Aby obliczyć miarę kąta ostrego tego trapezu, skorzystaj z funkcji trygonometrycznych, konkretnie rozwiąż równanie . Kąt ma miarę .
Zadanie 1.
Zadanie 2.
Zadanie 3.
Podpunkt a)
Podpunkt b)
Zadanie 4.
Zadanie 5.
Zadanie 6.
Zadanie 7.
Zadanie 8.
Zadanie 9.
Zadanie 10.
Podpunkt c)
Zadanie 11.
Zadanie 12.
Zadanie 13.
Zadanie 14.
Zadanie 15.
Zadanie 16.
Zadanie 17.
Zadanie 18.
Podpunkt d)