Trójkąty ABD i AEO są podobne na mocy cechy kkk (kąt – kąt – kąt). Skalą podobieństwa jest
Trójkąty ABC i FPC są podobne na mocy cechy kkk (kąt – kąt – kąt). Skalą podobieństwa jest
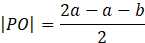
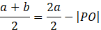
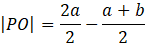
Zatem:
Odcinek łączący środki przekątnych tego trapezu jest równy
Zauważ trójkąty podobne i na tej podstawie udowodnij, że odcinek łączący środki przekątnych trapezu jest równy połowie różnicy jest podstaw.