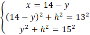
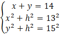
W tym zadaniu musisz obliczyć wysokość trapezu, wiedząc, że podstawy mają długości 20 i 6, a ramiona 13 i 15.
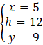
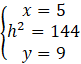
Wysokość trapezu jest równa 12.
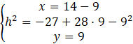
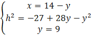
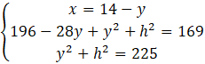
Rozwiąż układ równań z trzema równaniami, które jest zawarta zależność między odcinkami x, y i h. Rozwiąż ten układ równań i podaj wysokość trapezu.
Zadanie 1.
Zadanie 2.
Zadanie 3.
Podpunkt a)
Podpunkt b)
Zadanie 4.
Zadanie 5.
Zadanie 6.
Zadanie 7.
Zadanie 8.
Zadanie 9.
Zadanie 10.
Podpunkt c)
Zadanie 11.
Zadanie 12.
Zadanie 13.
Zadanie 14.
Zadanie 15.
Zadanie 16.
Zadanie 17.
Zadanie 18.
Podpunkt d)