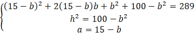
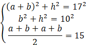
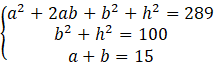
W tym zadaniu musisz obliczyć długości podstaw trapezu, wiedząc, że ramiona mają długość 10 cm, obie przekątne mają po 17 cm, a odcinek łączący środki ramion ma długość 15 cm.
Rozwiązanie
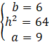
Podstawy mają długości równe 9 i 21.
Wyjaśnienie
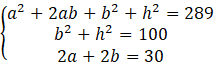
Rozwiąż układ równań z trzema równaniami, w których jest zawarta zależność między odcinkami a, b i h. Rozwiąż ten układ równań i podaj długości podstaw tego trapezu.