Korzystając z twierdzenia Pitagorasa obliczam
Trójkąty ABE i EBC są podobne na mocy cechy kkk, a więc zachodzi równość:
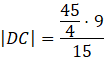
Trójkąty ABE i DEC są podobne na mocy cechy kkk, zachodzi więc dana równość:
Oblicz długość odcinka EB, stosując twierdzenia Pitagorasa. Następnie zauważ, że trójkąty ABE i EBC są podobne na mocy cechy kkk, zatem zachodzi równość